Aerobic Respiration, Part 2: Oxidation of Pyruvate and The Citric Acid Cycle

Lisa Bartee; Walter Shriner; and Catherine Creech

If oxygen is available, aerobic respiration will go forward. In eukaryotic cells, the pyruvate molecules produced at the end of glycolysis are transported into mitochondria (Figure 1), which are the sites of cellular respiration. In order for pyruvate, the product of glycolysis, to enter the next pathway, it must undergo several changes. The conversion is a three-step process.

Mitochondria structure
Figure 1 Diagram of a human mitochondrion. Recall that mitochondria have two membranes: an inner and an outer membrane. Between the two membranes is a region known as the intermembrane space. The mitochondrial matrix is located inside the inner membrane. Photo credit PsChemp, Wikimedia.

Oxidation of Pyruvate

In eukaryotic cells, the pyruvate molecules produced at the end of glycolysis are transported into the mitochondrial matrix (the middle region of the mitochondria) (Figure 1). In the mitochondrial matrix, pyruvate will be transformed into a two-carbon acetyl group by removing a molecule of carbon dioxide. This also produces NADH. The acetyl group is picked up by a carrier compound called coenzyme A (CoA), which is made from vitamin B5. The resulting compound is called acetyl CoA (Figure 2). Acetyl CoA can be used in a variety of ways by the cell, but its major function is to deliver the acetyl group derived from pyruvate to the next pathway in glucose catabolism.

oxidation of pyruvate
Figure 2 Upon entering the mitochondrial matrix, a multi-enzyme complex converts pyruvate into acetyl CoA. In the process, carbon dioxide is released and one molecule of NADH is formed.

 Acetyl CoA to CO2

In the presence of oxygen, acetyl CoA delivers its acetyl group to a four-carbon molecule, oxaloacetate, to form citrate, a six-carbon molecule with three carboxyl groups; this pathway will harvest the remainder of the extractable energy from what began as a glucose molecule. This single pathway is called by different names: the citric acid cycle (for the first intermediate formed—citric acid, or citrate—when acetate joins to the oxaloacetate), the TCA cycle (since citric acid or citrate and isocitrate are tricarboxylic acids), and the Krebs cycle, after Hans Krebs, who first identified the steps in the pathway in the 1930s in pigeon flight muscles.

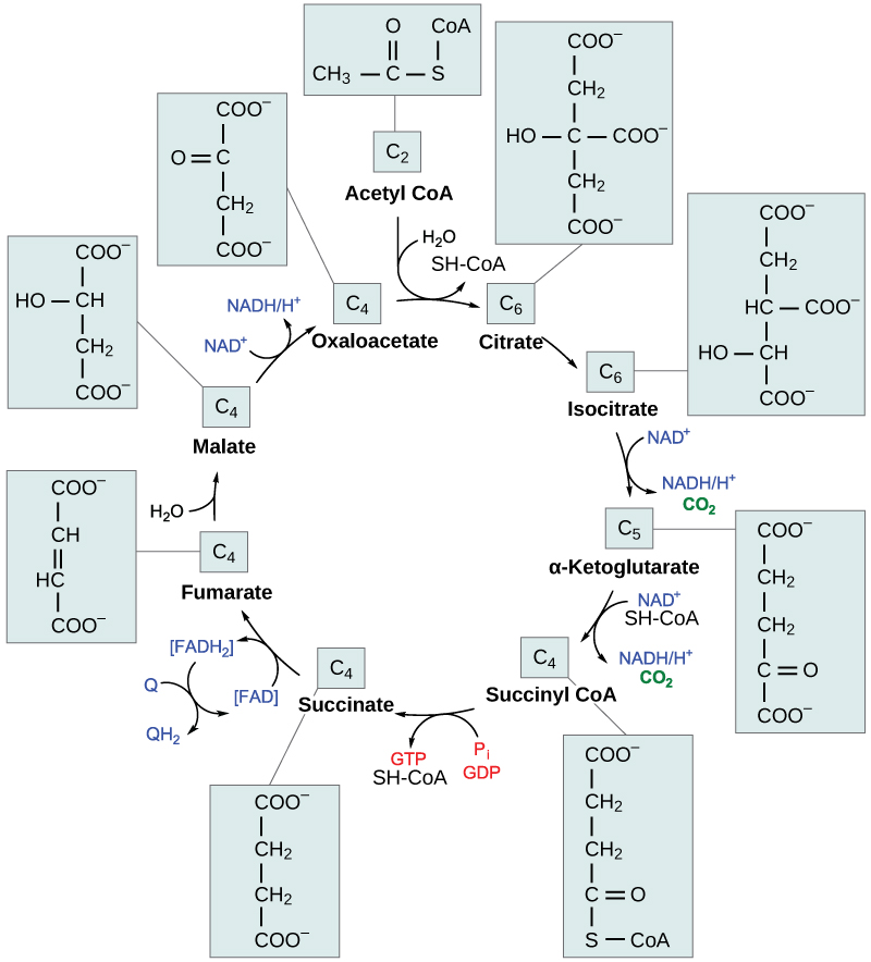
Like the conversion of pyruvate to acetyl CoA, the citric acid cycle in eukaryotic cells also takes place in the matrix of the mitochondria (Figure 1). Unlike glycolysis, the citric acid cycle is a closed loop: the last part of the pathway regenerates the compound used in the first step. The eight steps of the cycle are a series of chemical reactions that produces the following from each of the two molecules of pyruvate produced per molecule of glucose that originally went into glycolysis (Figure 3):

  • 2 carbon dioxide molecules
  • 1 ATP molecule (or an equivalent)
  • 3 NADH and 1 FADH2, which carry energy to the last part of the aerobic respiration pathway.

Part of this is considered an aerobic pathway (oxygen-requiring) because the NADH and FADH2 produced must transfer their electrons to the next pathway in the system, which will use oxygen. If oxygen is not present, this transfer does not occur. The citric acid cycle does NOT occur in anaerobic respiration.

Two carbon atoms come into the citric acid cycle from each acetyl group. Two carbon dioxide molecules are released on each turn of the cycle; however, these do not contain the same carbon atoms contributed by the acetyl group on that turn of the pathway. The two acetyl-carbon atoms will eventually be released on later turns of the cycle; in this way, all six carbon atoms from the original glucose molecule will be eventually released as carbon dioxide. Carbon dioxide is a waste product in most animal cells and will be released outside the organism. It takes two turns of the cycle to process the equivalent of one glucose molecule. Each turn of the cycle forms three high-energy NADH molecules and one high-energy FADH2 molecule. These high-energy carriers will connect with the last portion of aerobic respiration to produce ATP molecules. One ATP (or an equivalent) is also made in each cycle. Several of the intermediate compounds in the citric acid cycle can be used in synthesizing non-essential amino acids; therefore, the cycle is both anabolic and catabolic.

citric acid cycle
Figure 3 In the citric acid cycle, the acetyl group from acetyl CoA is attached to a four-carbon oxaloacetate molecule to form a six-carbon citrate molecule. Through a series of steps, citrate is oxidized, releasing two carbon dioxide molecules for each acetyl group fed into the cycle. In the process, three NAD+ molecules are reduced to NADH, one FAD molecule is reduced to FADH2, and one ATP or GTP (depending on the cell type) is produced (by substrate-level phosphorylation). Because the final product of the citric acid cycle is also the first reactant, the cycle runs continuously in the presence of sufficient reactants. (credit: modification of work by “Yikrazuul”/Wikimedia Commons)

Section Summary

In the presence of oxygen, 3-carbon pyruvate is converted into a 2-carbon acetyl group, which is attached to a carrier molecule of coenzyme A. The resulting acetyl CoA can enter several pathways, but most often, the acetyl group is delivered to the citric acid cycle for further catabolism (breakdown). During the conversion of pyruvate into the acetyl group, a molecule of carbon dioxide and two high-energy electrons are removed. Because two pyruvate were produced from each molecule of glucose during glycolysis, the production of two carbon dioxide molecules (which are released as waste) accounts for two of the six carbons of the original glucose molecule. The other four carbons are released as carbon dioxide during two turns of the citric acid cycle. The electrons are picked up by NAD+, and the NADH carries the electrons to a later pathway for ATP production. At this point, the glucose molecule that originally entered cellular respiration has been completely broken down. Chemical potential energy stored within the glucose molecule has been transferred to electron carriers or has been used to synthesize a few ATPs.

What was produced (per molecule of glucose)?

  • Oxidation of pyruvate: 2 CO2, 2 NADH, 2 acetyl (2 carbon molecule)
  • Products of the citric acid cycle: 4 CO2, 6 NADH, 2 FADH2, 2 ATP

 

References

Unless otherwise noted, images on this page are licensed under CC-BY 4.0 by OpenStax.

OpenStax, Concepts of Biology. OpenStax CNX. May 18, 2016 http://cnx.org/contents/b3c1e1d2-839c-42b0-a314-e119a8aafbdd@9.10

OpenStax, Biology. OpenStax CNX. September 16, 2017. https://cnx.org/contents/GFy_h8cu@10.118:weAHBat1@7/Oxidation-of-Pyruvate-and-the- 

License

Icon for the Creative Commons Attribution 4.0 International License

Aerobic Respiration, Part 2: Oxidation of Pyruvate and The Citric Acid Cycle by Lisa Bartee; Walter Shriner; and Catherine Creech is licensed under a Creative Commons Attribution 4.0 International License, except where otherwise noted.

Share This Book